发信人: vickyyj (我的未来没有明天), 信区: material
标 题: Re: FCC动力矩阵的计算
发信站: BBS 听涛站 (Fri Apr 29 11:08:46 2005)
【 在 vickyyj (我的未来没有明天) 的大作中提到: 】
:
--
◢◣ ◢◣
◢██◣ ◢██◣
◢█◤ ◥◢█◣◢▇◣◤ ◥█◣ When I believe my dream,
◢◤ ◥ ◥████◤ ◤ ◥◣ my heart is flying...
◢◤◤◥◥ ◥██◤ ◤◤◥◥◣
◥◤
※ 来源:·BBS 听涛站 http://tingtao.net·[FROM: 59.66.174.160]

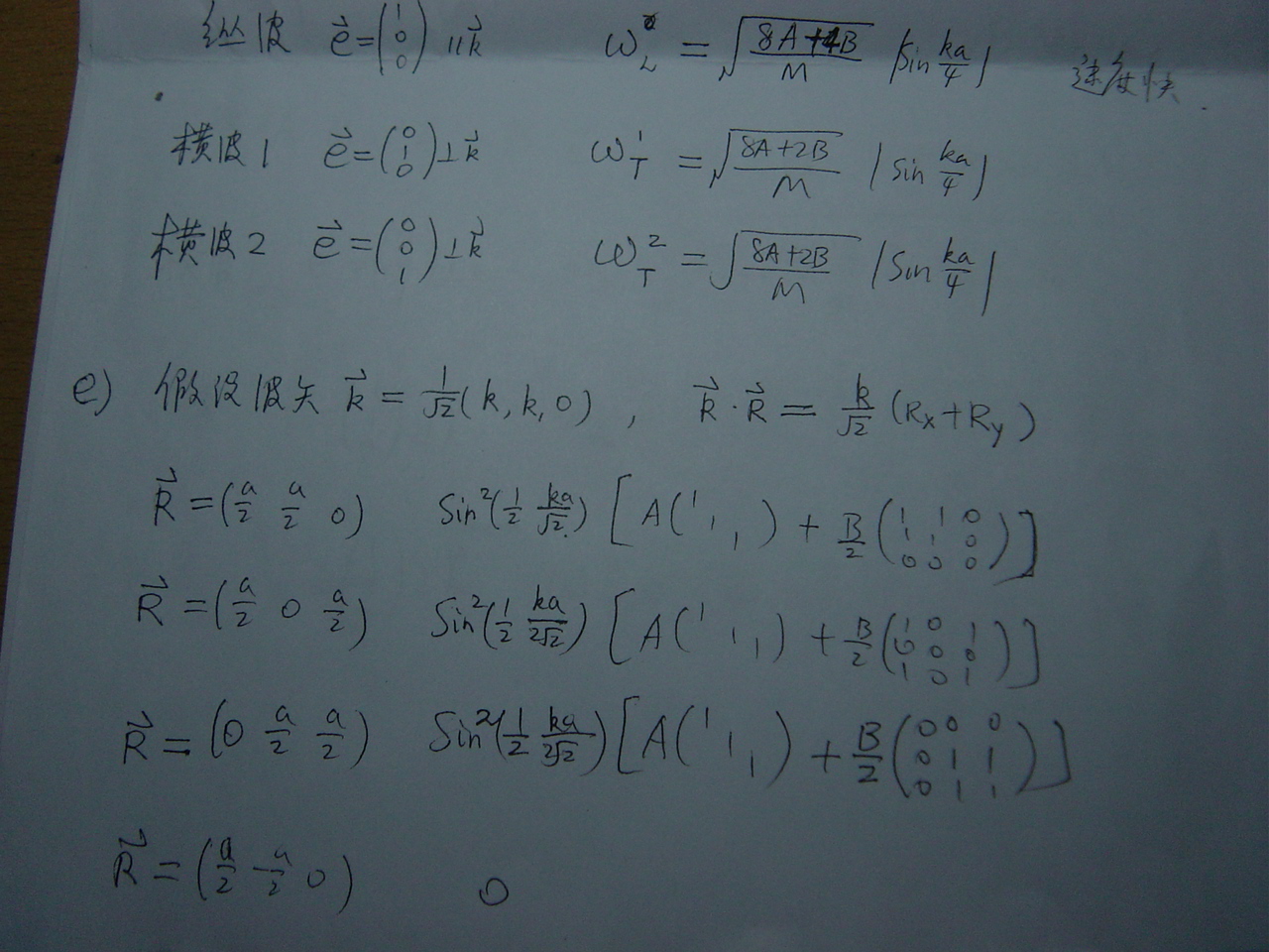
此主题相关图片如下:7.JPG (480371 字节)