发信人: vickyyj (我的未来没有明天), 信区: material
标 题: Re: FCC动力矩阵的一般表示方法
发信站: BBS 听涛站 (Fri Apr 29 13:51:07 2005)
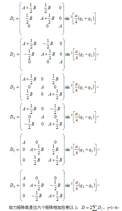
下面具体计算一般波矢下的动力矩阵
【 在 vickyyj (我的未来没有明天) 的大作中提到: 】
: 上面的版本中貌似只有当波矢取几个特殊位置时的结果
: 我把波矢一般化的情况下的动力矩阵算了算,其实算法都是一样的,不过看起来方便..
:
: 不知道有没有错的,请大家指教
:
: 这个是取不同的R时(即取不同的格点)的分矩阵中的各个元素
--
◢◣ ◢◣
◢██◣ ◢██◣
◢█◤ ◥◢█◣◢▇◣◤ ◥█◣ When I believe my dream,
◢◤ ◥ ◥████◤ ◤ ◥◣ my heart is flying...
◢◤◤◥◥ ◥██◤ ◤◤◥◥◣
◥◤
※ 来源:·BBS 听涛站 http://tingtao.net·[FROM: 59.66.174.160]

此主题相关图片如下:2.jpg (15596 字节)

此主题相关图片如下:3.jpg (55651 字节)